पकड़ी गई बालू माफियाओं की 'डिजिटल' चोरी!; 475 गाड़ियों का नंबर भी जारी, जुर्माना नहीं भरा तो सीधे जेल, खनन विभाग का बड़ा प्रहार
बिहार में बालू ढोने वाली 475 गाड़ियों पर जीपीएस के साथ छेड़छाड़ कर राजस्व चोरी करने का आरोप लगा है, जिसके बाद एनआईसी की रिपोर्ट के आधार पर उन पर ₹1 लाख का जुर्माना लगाने की तैयारी है।
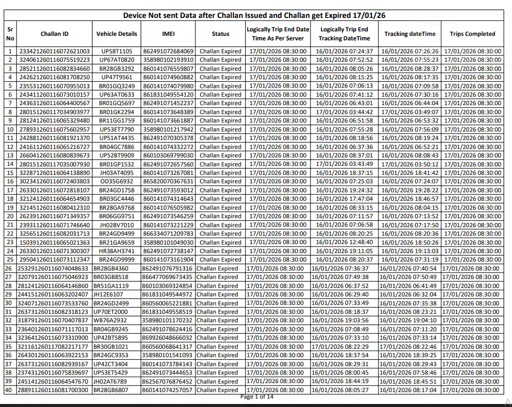
Patna - बिहार में बालू खनन और परिवहन में राजस्व चोरी के खिलाफ सरकार ने अब तक की सबसे बड़ी कार्रवाई की तैयारी कर ली है । नेशनल इन्फॉर्मेटिक्स सेंटर (NIC) की एक ताजा रिपोर्ट में खुलासा हुआ है कि पूरे प्रदेश में 475 ऐसी गाड़ियां चिन्हित की गई हैं, जिन्होंने जीपीएस (GPS) सिस्टम के साथ छेड़छाड़ की है । इस रिपोर्ट के सामने आने के बाद अब इन सभी वाहनों पर भारी जुर्माना लगाने की प्रक्रिया शुरू हो गई है।
राजस्व चोरी के लिए अपनाया नया पैंतरा
जांच में यह बात सामने आई है कि बालू लोड करने और चालान कटवाने के बाद गाड़ी मालिकों ने जानबूझकर अपने वाहनों का जीपीएस बंद कर दिया था । ऐसा इसलिए किया गया ताकि विभाग को गाड़ियों की वास्तविक लोकेशन और रूट का पता न चल सके। सरकार से राजस्व की चोरी करने का यह नया तरीका अब गाड़ी मालिकों पर भारी पड़ने वाला है, क्योंकि डिजिटल निगरानी के जरिए उनकी यह चालाकी पकड़ी जा चुकी है ।
₹1,00,000 जुर्माने का प्रावधान
जीपीएस के साथ छेड़छाड़ और डेटा न भेजने के मामले को खनन विभाग ने बेहद गंभीरता से लिया है। नियमों के उल्लंघन की स्थिति में प्रत्येक गाड़ी पर 1 लाख रुपये का जुर्माना किया जा सकता है । विभाग का स्पष्ट मानना है कि बिना लोकेशन साझा किए बालू का परिवहन करना अवैध खनन की श्रेणी में आता है और ऐसे मामलों में किसी भी प्रकार की नरमी नहीं बरती जाएगी।
नोटिस और कानूनी कार्रवाई की चेतावनी
जुर्माने की राशि जमा करने के लिए विभाग द्वारा समय सीमा भी तय की जा रही है। यदि चिन्हित गाड़ियों के मालिक एक सप्ताह के भीतर जुर्माने की राशि जमा नहीं करते हैं, तो खनन विभाग द्वारा उन्हें औपचारिक नोटिस भेजा जाएगा । नोटिस के बावजूद भुगतान न करने की स्थिति में विभाग द्वारा संबंधित गाड़ी मालिक के खिलाफ मुकदमा दर्ज करने की भी तैयारी है ।
पूरे बिहार में मचा हड़कंप
एनआईसी की रिपोर्ट के आधार पर की जा रही इस कार्रवाई से बालू कारोबारियों और ट्रक मालिकों के बीच हड़कंप मच गया है । विभाग ने स्पष्ट कर दिया है कि भविष्य में भी ऐसी किसी भी तकनीकी छेड़छाड़ को बर्दाश्त नहीं किया जाएगा। वर्तमान में उन 475 गाड़ियों की सूची संबंधित जिलों के खनन पदाधिकारियों को भेजी जा रही है ताकि वसूली और कार्रवाई की प्रक्रिया को जल्द से जल्द पूरा किया जा सके ।













